4.4.4太湖河网水质模型
4.4.4.1来水组成
一般树状分布河网,上一级河道总是汇入下一级河道,位于河道下游断面的流量总是由其上游汇集的结果,不存在来水组成的问题。但对于呈网状分布平原河网地区,特别是人工控制建筑物众多,又受潮汐影响的地区,河道水流受流域内或边界处的降雨、潮汐、闸泵的运行方式及各需水部门的供水、用水、耗水、排水的影响,河道水流方向不定,水流情况非常复杂,例如太湖流域。太湖流域不仅水流复杂,而且水流的来源及去向亦很复杂,从水量来源可分为山丘区(茅山宜溧山区及浙西山区)、平原区产水及湖泊或沿江引水。平原地区产水又可分为降雨径流、废水排放等。沿江的引水又可按引水地点不同,可以分为湖西地区、澄锡虞地区、阳澄区、上海市等。亦可按照引水闸门或河道来划分,例如谏壁闸、望虞河、浏河、黄浦江…等。由于太湖流域有众多较大的湖泊,如太湖、洮湖、滆湖、阳澄湖及淀山湖等,这些湖泊往往是某些河道或引水工程的水源地。
在实际工作过程中经常会遇到这样一个问题‘水从那里来的,又到那里去了’。例如引江济太工程中,望虞河从长江引水以补给太湖及流域内其它地区水量不足,但引入的水量有多少能进入太湖,有多少是中途流失的,流到那里去了,由于望虞河西侧如锡北运河、九里河、伯渎港等是无锡市的排水河道,这些河道水质较差,望虞河自长江引水后这些河道的水流又到那里去了,太湖沿江有许多通江河道,建有闸门控制,有人建议利用某些闸涨潮引水,再通过其它一些闸排水,利用潮汐的运力,使河网中水流动起来,将污水排出。但排出的是什么地方的水,如果排出的是水流来自於计划中的污水,那么这样的运行方式或工程是可行的,如果排出的水大部分是其它闸引进的清水,那么这样的措施达不到预期的效果。
通过来水组成分析,上述诸问题均可得到解决。
来水组成分析还可以检查水量模型计算的成果是否合理,是否有误。
来水组成分析是以水质模拟(见下)计算为基础的,但计算结果不同于水质模拟,来水组成计算的结果是有理论解,如果考虑了所有水源,那么任何一个河段或断面,各种来水组分的总和应等于1.0或100%,如果不是这个理论值,说明程序有错,便于检查程序并保证程序的正确性。正确的来水组成程序略经改造可得水质模拟程序。
4.4.4.1.1基本原理

从一个简单的例子来说明来水组成的基本思路和原理,设L1、L2、L3、L4为四个河段,进入河段L1、L2、L3的流量分别为 q1、q2、q3这三个河段的流量都流向河段L4,该河段的流量为 q= q1+q2+q3,河段 L4的水量是由河段L1、河段L2、河段L3的来水组成,其中河段L1、河段L2、河段L3的来水量分别占 q1/q、q2/q、q3/q。
设想有一保守物质C1随同水流一起进入河段L1,该物质随水流输运过程中没有降解(扩散作用不考虑,理由见后)。类似地有保守物质C2、C3随同水流一起进入河段L2、L3,假定随同水流一起进入河段的保守物质浓度均为1.0。这三种保守物质在汇合处充分掺混后进入河段L4,河段L4中物质C1的浓度为q1/q,物质C2的浓度为q2/q,物质C3的浓度为q3/q。因此,保守物质的浓度反映了携带该物质的水量所占比重。我们只要对不同的水源赋以不同的保守物质名称,然后用保守物质的全流域水质模型,计算各河段的保守物质浓度随时间的变化过程,就可以得到各河段水体的组成情况。如何划分水源取决于所研究的课题,例如可以将整个太湖流域沿长江引水作为一种水源,亦可以取一条河的引江作为一种水源,例如望虞河。前者只关心流域引江水量,具体是那一条河引水无关紧要。后者关心的是望虞河引水。
将全河网的调蓄节点、河道及陆域面上的初始蓄水量定义为第一类保守物质,降雨径流定义为第二类保守物质,废水排放定义为第三类保守物质。因此一、二、三类保守物质是本模型中明确定义的,用户不能随意更改,从第四类保守物质开始,用户可以根据需要任意定义为某种水源。
4.4.4.1.2基本方程
描述保守物质的基本方程式为对流方程式:

式中:A=过水面积,m2;
Q=流量,m3/s;
C=物质浓度;
t,x为时间(s)及空间(m)。
这个方程式本身很简单,描写的物理现象亦非常简单,即水流携带的保守物质随着水流输移,像飘浮在水面上的物体随着水流移动。但要用数值求解方法要精确求得解答比较困难,误差主要来源于:数值耗散、差分格式和对物理现象的简化假定等。
数值耗散是不可避免的,它与所取的时步长
和空间步长
密切相关,还与所采用的差分格式等密切相关。
在生产实践中,单纯的对流方程式不多见,一般情况下为对流扩散方程,例如水质方程,但扩散项远远小于对流项。如果我们将常见的求解水质方程中处理对流项的差分方程归纳起来可以分成两大类,一类是同步网格,即水质网格(或有限体积)与水量网格相同;另一类是交错网格,水质网格与水量网格的布置不同。为了简单起见,假定水流是单向流动的。
(1)同步网格

方程式的差分格式:

式中上脚标为时间,n-1为时段初,n为时段末;下脚标为断面位置。
断面i=1处浓度
为上边界条件(已知值)。
这种差分方程式的基本假定是:进入网格的物质量经过充分掺混后,流出网格,网格出口断面的浓度等于网格单元充分掺混后的浓度。
(2)交错网格

水质网格差分方程式中对流项用断面i-1及i处的值来计算,差分方程式形式同上。基本假定仍为充分掺混。
4.4.4.1.3充分掺混假定的误差
充分掺混实质上是网格单元内无穷扩散,而对流方程是无扩散作用的,而水质基本方程中虽有扩散项,但与对流项相比较,扩散项是次要项。充分掺混假定无疑与实际物理现象不符,使得模拟结果坦化。如果不采用充分掺混假定,将会产生计算上的困难和成果的不合理等现象,本研究对此问题作了深入研究,并提出了一套算法和公式,其中最主要的是断面计算浓度的概念,介绍如下。
4.4.4.1.4断面计算浓度的概念
设某河段时段初断面1和断面2的物质浓度为C01和C02,上边界节点N的浓度为CN,如图所示。经过
后,随着水流有物质量Q1*CN*
从断面1进入第一微段,实际上物质浓度沿程变化如图中粗线所示。


断面1的浓度等于上边界浓度CN,如果采用浓度沿程呈直线变化假定,当波没有传到断面2,如图所示情况。为了保持微段内质量平衡,那么断面2的浓度必定小于C02值,甚至于出现负值等不合理现象,如图中虚线所示。产生这种现象的根本原因是浓度沿程呈直线变化的假定与实际情况不符。实际上浓度沿程是千变万化的,在模拟计算中不可能去模拟实际的浓度沿程变化,只可能采用直线变化假定。为了同时满足下列三个假定或条件:
l
浓度沿程呈直线变化;
l
下游断面不产生‘负波’;
l
满足质量守衡。
断面1的浓度不能直接取边界节点浓度,其浓度值应根据上面三条基本要求反推出来的,称为计算浓度。
经过
后,通过断面1输送到河段的物质增量为:

M1的大小与浓度差(CN-C01)、流量Q1及计算时步长
有关。
断面1、2之间物质浓度假定呈线性变化,断面2处又不出负波,同时又要满定质量守衡,因此要求图中三角形面积M2表示的物质量必须与M1相等。
式中:A1、A2为断面1、2的过水面积。
令M1=M2并经整理后得:
式中:
为微段蓄水量。
断面1的计算浓度C1可由下式计算得:
式中:
反映传播速度的一个指标,当
小于1时,说明波还没有传到下游断面,断面1的计算浓度介于初始浓度与边界节点浓度之间;当
=1时,波刚好抵达下游断面,断面1的浓度刚好等于边界节点浓度;当
大于1时,取
=1.0。
断面1的计算浓度虽然不是该断面的实际浓度,但用它与下断面浓度按线性变化假定来计算微段内的物质量,则是正确的,即用它来计算微段的平均浓度是正确的。
计算浓度根据上面三个条件,即:浓度沿程呈线性变化假定;不出现负波;质量守衡三个基本原则计算。
断面1的计算浓度,可以写成边界节点浓度CN的简单线性方程,如下所示。
式中:

4.4.4.1.5保守物质的定义
为了使开发的来水组成程序尽可能满足生产实践所遇到的各种问题,特别注意模型开发中边界条件的赋值和定义的方便性和广泛性。可以取概化河道作为边界条件来分析,亦可取节点作边界条件。同一类边界条件可以是一条概化河道,亦可以是若干条概化河道;可以是一个节点,亦可以是若干个节点。所定义的河道或节点的位置是任意的,可以是水量模型中的水位或流量边界节点,亦可以是概化河网中任意一个或几个内部节点或内部河道。所选的节点可以是调蓄节点,亦可以是无调蓄节点。概化河网中所有的节点、概化河道均可作为边界条件。
所定义的边界条件上的保守物质浓度均定义为1.0,不论进入边界条件的物质和浓度如何,但从所定义的边界条件流出的浓度均定义为1.0。
4.4.4.2水质模型
4.4.4.2.1水质模型计算方法
引江济太水量水质联合调度模型系统中的水质模型由三部分组成,分别是调蓄节点水质模型、河网水质模型和太湖二维水质模型。调蓄节点水质模型主要模拟流域内除太湖以外的湖泊水质变化规律;河网水质模型用于研究太湖平原河网污染物的运移转化规律;太湖二维水质模型则是专门为太湖建立的平面二维模型,用以模拟太湖水质的时空分布情况。水质模型与水量模型耦合联算,采用控制体积法进行数值离散。
(1)调蓄节点水质模型
模型系统中将除太湖以外的湖泊概化为调蓄节点,所采用的水质模型通用方程如下:

式中:C—某种水质指标的浓度,mg/L;V—调蓄节点水体体积,m3;S—某种水质指标的生化反应项,g/(m3·d);Sw—某种水质指标的外部源汇项,g/s。
生化反应项指由化学反应引起的水质浓度的增加或减少,外部源汇项指从系统外部加入的源项,例如污染源。对于不同的水质指标和环境条件,生化反应项各不相同,下面就不同的水质指标分别论述:
1)CODCr(化学需氧量)

式中:kc—CODCr的降解系数,d-1;Cc—CODCr的浓度,mg/L;h—平均水深,m;Sc—CODCr的底泥释放系数,g/(m2·d)。
2)BOD5(五日生化需氧量)

式中:kb—BOD5的降解系数,d-1;Cb—BOD5的浓度,mg/L;h—平均水深,m;Sb—BOD5的底泥释放系数,g/(m2·d)。
3)NH3-N(氨氮)

式中:kn—NH3-N的硝化速率,d-1;Cn—NH3-N的浓度,mg/L;h—平均水深,m;Sn—NH3-N的底泥释放系数,g/(m2·d)。
4)DO(溶解氧)

式中:ko—复氧系数,d-1;Cos—饱和溶解氧的浓度,mg/L;Co—溶解氧浓度,mg/L;h—平均水深,m;So—底泥耗氧系数,g/(m2·d)。
其中饱和溶解氧的浓度由下式计算得到:

式中:T—水温,℃。
5)TN(总氮)

式中:ktn—TN的综合沉降系数,d-1;Ctn—TN的浓度,mg/L;h—平均水深,m;Stn—TN的底泥释放系数,g/(m2·d)。
6)TP(总磷)

式中:kp—TP的综合沉降系数,d-1;Cp—TP的浓度,mg/L;h—平均水深,m;Sp—TP的底泥释放系数,g/(m2·d)。
7)模型参数选取
调蓄节点水质模型总共涉及到12个参数,参数取值考虑温度修正,修正公式如下。

式中:KT—温度为T时的参数值;K—20℃时的参数值;β—各参数的温度修正系数;T—水温,℃。
4.4.4.2.2河网一维水质模型
将太湖流域平原河网概化为一维模型要素,其水质模型的通用方程如下所示:

式中:A—断面面积,m2;C—某种水质指标的浓度,mg/L;t—时间,s;Ex—纵向分散系数,m2/s;U—断面平均流速,m/s;S—某种水质指标的生化反应项,g/(m3·d);Sw—某种水质指标的外部源汇项,g/s。
其中Ex由下式求得:

式中:αe—系数,取0.01;C0—谢才系数,θ—断面宽深比;q—断面平均单宽流量,m3/s。
生化反应项指由化学反应引起的水质浓度的增加或减少,外部源汇项指从系统外部加入的源项,例如污染源。对于不同的水质指标和环境条件,生化反应项各不相同,下面就不同的水质指标分别论述:
1)CODCr (化学需氧量)

式中:kc1,kc2,kc3—好氧、缺氧及厌氧条件下CODCr的降解系数,d-1;Cc—CODCr的浓度,mg/L;h—断面平均水深,m;Sc1、Sc2—好氧、缺氧和厌氧条件下CODCr的底泥释放系数,g/(m2·d);Co—溶解氧的浓度,mg/L。
2)BOD5(五日生化需氧量)

式中:kb1,kb2,kb3—好氧、缺氧及厌氧条件下BOD5的降解系数,d-1;Cb—BOD5的浓度,mg/L;h—断面平均水深,m;Sb1、Sb2—好氧、缺氧和厌氧条件下BOD5的底泥释放系数,g/(m2·d);Co—溶解氧的浓度,mg/L。
3)NH3-N(氨氮)

式中:kn—NH3-N的硝化速率常数,d-1;Cn—NH3-N的浓度,mg/L;h—断面平均水深,m;Sn1、Sn2—好氧、缺氧和厌氧条件下NH3-N的底泥释放系数,g/(m2·d);Co—溶解氧的浓度,mg/L。
4)DO(溶解氧)

式中:ko—复氧系数,d-1;Cos—饱和溶解氧的浓度,mg/L;Co—溶解氧浓度,mg/L;h—断面平均水深,m;So1、So2—好氧、缺氧和厌氧条件下的底泥耗氧系数,g/(m3·d)。
5)TN

式中:ktn—TN的综合沉降系数,d-1;kdn—TN的降解系数,d-1;Ctn—TN的浓度,mg/L;h—断面平均水深,m;Stn1、Stn2—好氧、缺氧和厌氧条件下TN的底泥释放系数,g/(m2·d);Co—溶解氧的浓度,mg/L。
6)TP

式中:kp—TP的综合沉降系数,d-1;Cp—TP的浓度,mg/L;h—断面平均水深,m;Sp1、Sp2—好氧、缺氧和厌氧条件下TP的底泥释放系数,g/(m2·d);Co—溶解氧的浓度,mg/L。
4.4.4.2.3太湖二维水质模型
二维水质模型通用方程如下:

式中:h—水深,m;C—某种水质指标的浓度,mg/L;U—x方向沿垂向的平均流速,m/s;V—y方向沿垂向的平均流速,m/s;t—时间,s;Ex—x方向扩散系数,m2/s;Ey—y方向扩散系数,m2/s;S—某种水质指标的生化反应项,g/(m3·d);Sw—某种水质指标的外部源汇项,g/s。
其中扩散系数按下式计算:


生化反应项指由化学反应引起的水质浓度的增加或减少,外部源汇项指从系统外部加入的源项,例如污染源。对于不同的水质指标和环境条件,生化反应项各不相同,下面就不同的水质指标分别论述:
1)CODCr (化学需氧量)

式中:kc—CODCr的降解系数,d-1;Cc—CODCr的浓度,mg/L;h—水深,m;Sc—CODCr的底泥释放系数,g/(m2·d)。
2)BOD5(五日生化需氧量)

式中:kb—BOD5的降解系数,d-1;Cb—BOD5的浓度,mg/L;h—水深,m;Sb—BOD5的底泥释放系数,g/(m2·d);Co—溶解氧的浓度,mg/L。
3)NH3-N(氨氮)

式中:km—NH3-N的矿化速率,d-1;GP1—藻类生长速率,d-1;αNC—藻类氮碳含量比;Cchl-a—叶绿素a浓度,mg/L;PNH3—藻类吸收NH3-N在总吸收氮量中的比例;kn—NH3-N的硝化速率,d-1;Cn—NH3-N的浓度,mg/L;h—水深,m;Sn—NH3-N的底泥释放系数,g/(m2·d)。
4)DO(溶解氧)

式中:ko—复氧系数,d-1;Cos—饱和溶解氧的浓度,mg/L;Co—溶解氧浓度,mg/L;K1R—藻类呼吸速率,d-1;GP1—藻类生长速率,d-1;h—水深,m;So—底泥耗氧系数,g/(m2·d)。
5)TN(总氮)

式中:ktn—TN的综合沉降系数,d-1;kdn—TN的降解系数,d-1;Ctn—TN的浓度,mg/L;h—水深,m;Stn—TN的底泥释放系数,g/(m2·d)。
6)TP(总磷)

式中:kp—TP的综合沉降系数,d-1;Cp—TP的浓度,mg/L;h—水深,m;Sp—TP的底泥释放系数,g/(m3·d)。
7)chl-a(叶绿素a)


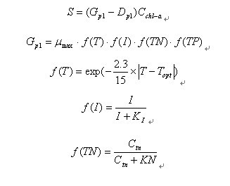
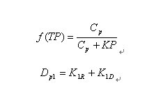
式中:GP1—藻类生长速率,d-1;DP1—藻类死亡速率,d-1;Vs—藻类沉降速率,m/d;μmax—藻类最大生长率,d-1;T—水温,℃;Topt—藻类最佳生长温度,℃;h—水深,m;I—水面的光照强度,µE/(m2·s);KI—藻类生长最佳光强的半饱和常数,µE/(m2·d);KN、KP—氮和磷的半饱和常数,mg/L;K1R—藻类呼吸速率,d-1;K1D—藻类死亡率,d-1。
实验证明,在不同类型的生物体内,糖类、脂肪和蛋白质的比例可以有相当大的差别,但就平均状况而言,生物有机体都具有相对固定的元素组成。构成藻类原生质的平均碳、氮、磷三种元素按其原子个数之比为106:16:1,一般认为浮游植物对营养要素的吸收也按这种比例进行。
当NH4+(NH3)、NO3-N、NO2-N共存,其含量又处于同样有效量的范围内时,绝大多数藻类总是优先吸收NH4+(NH3),仅在NH4+(NH3)几乎耗尽后,才开始吸收NO3-N,介质pH较低时处于指数生长期的藻类细胞,此特点尤为显著。